系统具有整体性、相关性、结构性、动态平衡性、目的性、层次性、多样性等基本属性,系统观通过系统的各个基本属性来体现。系统观的培养不可能一次完成,也不可能通过某一门课程完成,其需要多门课、多学科并行开展。“信号与系统”课程在教学的各个环节,合理配置系统观的教学内容,通过线上、线下、小组协作等多渠道潜移默化地对学生进行系统观的培养。
1.教学目标
通过课程教学的各个环节,培养学生的系统观。
2.实施过程
2.1 绪论课给学生讲清楚课程要求
通过介绍课程的地位、应用领域,明确告知学生本课程的5个教学目标,让学生知道自己要达到的学习成果;通过介绍教学内容让学生知道为什么要取得这样的学习成果;通过介绍技术手段以保障学生能够取得这些学习成果;通过介绍教学方法有效帮助学生取得学习成果;通过介绍考核评价方式让学生知道已经取得的成果。
2.2 线下教学中系统观的培养
线下教学以课堂讲授为主,结合小组协作汇报、课堂练习与讨论、考试等共同实施。在线下教学的各章节,充分挖掘系统观思政元素,将系统观的培养始终贯穿其中。
2.3 线上教学中系统观的培养
线上教学以学生根据课程团队录制视频配合教材自学为主,结合小组协作学习、老师线上辅导答疑、线上章测试和线上期末考试等共同完成。在线上教学中始终贯穿系统观的培养。
2.4 小组协作中系统观的培养
小组协作是将学生分成若干小组,在线上学习时对疑难问题和小组协作问题进行协作学习、讨论解决,在线下课堂上将小组协作制作的PPT展示汇报。在小组协作中,通过每个组员的通力合作,培养学生的系统观。
3.实施案例
系统理论贯穿在信号与系统课程的各章节中,在讲授时引导学生以系统的观点看待事物。
3.1 让学生明白系统是一个整体,它由若干单元(子系统)构成,其广泛存在于自然界、人类社会和工程技术等各个领域
【实例1】系统定义为相互依赖、相互作用的若干个相互关联的单元组合而成的具有特定功能的有机整体。如人体系统由消化系统、神经系统、呼吸系统、循环系统、运动系统、内分泌系统、泌尿系统、生殖系统8大系统组成;电力系统由发电、输电、变电、配电、用电等部分组成。再如我国于2018年12月8日成功发射的、开启人类第一次月球背面探险之旅的嫦娥四号探测器与地面进行双向通信的系统,是由玉兔二号巡视器、鹊桥中继星和地面站等组成,示意图如图1所示。
图1 玉兔二号与地面传送信息示意图

3.2 让学生知道组成系统的各部分之间是相互联系、相互作用和依赖的
【实例2】如人体的8个系统相辅相成、缺一不可,这些系统协调配合,互相联系、互相制约,使人体内各种复杂的生命活动能够正常进行;再如【实例1】中的嫦娥四号探测器与地面进行双向通信的系统,由于月球背面对地球始终不可见,玉兔二号与地面的所有通信都是通过鹊桥中继星进行的,即玉兔二号在月球背面发送的信息,首先为鹊桥中继星接收后再转发到地球表面,同样,地面发送给玉兔二号的信息,也是首先为鹊桥中继星接收后再转发给玉兔二号。
3.3 让学生懂得系统是多种多样的
【实例3】系统可以从不同的角度进行分类。如从系统的输入和输出是连续信号还是离散信号可分为连续时间系统和离散时间系统;从系统是否同时满足齐次性和叠加性可分为线性系统和非线性系统;从系统是否满足时不变特性分为时不变系统和时变系统;从系统是否具有因果性分为因果系统和非因果系统;从系统是否具有稳定性分为稳定系统和非稳定系统等。
3.4 通过LTI系统的冲激响应、频率响应或系统函数,让学生明白任何系统都有其本身的特性和特定的功能
【实例4】LTI系统的冲激响应、频率响应和系统函数分别从时域、频域和复频域的角度表征系统本身的特性,它完全取决于系统的结构和参数,与系统的激励和响应无关,系统确定后,其就是一定的,因此常用它们来代表一个系统。如RC无源高通滤波器的冲激响应、频率响应、系统函数分别为

它们分别从时域、频域和复频域方面表示该高通滤波器的特性。
3.5 通过问题让学生从系统的结构角度去认识系统的特性和功能
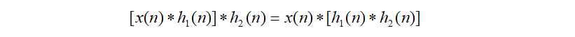
【实例5】卷积和满足交换律、分配律和结合律等代数运算规律。
①交换律:

从系统的观点解释:一个单位样值响应是h(n)的LTI系统对输入信号x(n)所产生的响应,与一个单位样值响应是x(n)的LTI系统对输入信号h(n)所产生的响应相同。
②分配律:

从系统的观点解释:一个LTI系统由若干个子系统并联构成,则系统总的单位样值响应等于各子系统单位样值响应之和。
③结合律:

从系统的观点解释:一个LTI系统由若干个子系统级联构成,则系统总的单位样值响应等于各个子系统单位样值响应的卷积和。
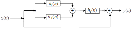
一个系统通常是由若干个子系统通过并联、级联等结构形式联结构成,其总的单位样值响应根据各子系统的联结方式确定,通过它可以了解系统的稳定、因果等特性,掌握系统特定的功能。
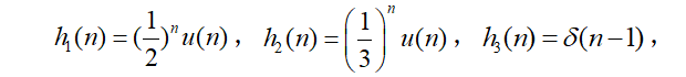
问题:某LTI离散时间系统的结构框图如图2所示,已知

求系统总的单位样值响应h(n)并判断系统的稳定性和因果性。

图2 某LTI离散时间系统结构框图
注意:一个系统可以很复杂,也可以很简单,一根导线也是一个系统。由导线构成的子系统的单位样值响应是δ(n),而不是1。
3.6 通过信号与系统分析的实质,让学生学会将复杂问题简单化的分析方法
【实例6】信号与系统可以从时域、频域和复频域三个角度进行分析,不管从哪个方面分析,其实质都是将复杂信号表示为一系列基本信号的线性组合。信号分析是通过研究基本信号的特性来探究复杂信号的特性;系统分析也是通过基本信号作用于系统产生的零状态响应的线性组合得到复杂信号产生的零状态响应,从而对系统特性进行有效的分析。
问题:分别用时域、频域和复频域的方法求系统


在激励
作用下的零状态响应。

说明:
①在时域中,任意信号f(t)(复杂信号)可以表示为一系列冲激信号(基本信号)的线性组合,即

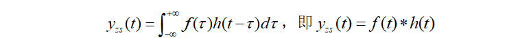
将这一系列冲激信号作用于线性时不变系统,根据线性时不变系统的叠加特性,可得零状态响应为

其中,h(t)为系统的冲激响应。
②在频域中,任意信号f(t)可表示为一系列不同频率的虚指数信号(基本信号)的线性组合,将这一系列虚指数信号作用于线性时不变系统,可得系统的零状态响应为

其中,H(jw)为系统的频率响应函数。
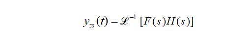
③在复频域中,任意信号f(t)可表示为一系列复指数信号(基本信号)的线性组合,类似地,可得系统的零状态响应为

其中,H(s)为系统的系统函数。
版权归原作者所有,如有侵权,请联系删除